Showing posts with label class note. Show all posts
Showing posts with label class note. Show all posts

Monday, August 28, 2023

AC

Alternating CurrentAlternating CurrentThe current or emf whose magnitude changes with time and direction reverses periodically is known as alternating current or alternating emf.A sinusoidal current and emf can be expressed as:a
I=I0sin𝜔t(i)
E=E0sin𝜔t(ii)
where I0 and E0 are their maximum value or peak value or amplitude of current and e.m.f respectively. Their angular frequency is called driving frequency and is given by𝜔=2𝜋
T
=2𝜋f
Where T is time period and f is frequency of alternating current or e.m.f.Advantages1. Generation, transmission, and distribution of A.C. are more economical than that of D.C.2. AC is easily convertible into D.C.3. AC can be better controlled without any loss of electric power by using a choke coil.4. The alternating high voltage can be stepped down or stepped up easily by using a transformer.5. AC. can reach distant places without much loss of electric power by using a transformer.6. AC. machines are easier to use.Disadvantages1. C. cannot be used in the electrolysis process such as electroplating, electrotyping, and electro refining etc. where only D.C. is used.2. C. can be more dangerous than D.C. in terms of its attractive nature and also because its maximum value is 2 times its effective value.3. C. in a wire is not uniformly distributed through its cross-section. The a.c. density is much greater near the surface of the wire than that inside the wire. The a.c. density is much greater near the surface of the wire than that inside the wire. The concentration of a.c. near the surface of the wire is called the skin effect.4. Markings on the scales of A.C. meters are not equidistant for small measurement.
Peak Value RMS value of AC current and VoltageThe RMS value of AC current is equal to that amount of DC current which produces the same heating effect flowing through the same resistance for the same time.It is also known as virtual value of ac or Effective value of ac.Let us consider the alternating current is represented by,I=I0sin𝜔tIf this alternating current flows through a resistance R for small time dt, then small amount of heat produced which is given bya
dH=I2Rdt=(I20sin2𝜔t)Rdt
or, dH=I2oRsin2𝜔Tdt...........(i)
To obtain total amount of heat produced in one cycle, we have to integrate equation (i) from t=0 to t=T.a
H=I2oRsin2𝜔tdt
=I2oR(1-cos2𝜔t)
2
dt
=I20R
2
(1-cos2𝜔t)dt
=I20R
2
[dt-cos2𝜔tdt]T
=I20R
2
[[t]T0-[sin2𝜔t
2𝜔
]T0]
=I20R
2
[(T-0)-1
2𝜔
[sin22𝜋
T
t]T0]
=I20R
2
[T-1
2𝜔
(sin22𝜋
T
T-sin0)]
or, H=I20RT
2
(ii)
If Irms be the r.m.s. value or virtual value of a.c., then the amount of heat produced in the same resistance R in same time T is writtenH=I2rmsRT(iii)From equation (ii) and (iii), we getI2rmsRT=I20RT
2
Irms=I0
2
=0.707I0
Hence the r.m.s. value or virtual value or effective value of a.c. in 0.707 times the peak value of a.c. i.e 70.7% of the peak value of a.c.The virtual value of alternating current can be proved asEv=E0
2
=0.707E0
Mean and average value of ACAlternating current is positive during the first half cycle and negative during another half cycle, so the mean average value of a.c. over one cycle is zero. We can find the mean or average value of a.c. over any half cycle.Mean or average value of alternating current is that value of steady current which sends the same amount of charge through a circuit in a certain time interval as is sent by an alternating current through the same circuit in the same time interval.To calculate its value, let an alternating current be represented byI=I0sin𝜔tThe charge sent by the alternating current I in time dt is given bya
dq=Idt[I=dq
dt
]
dq=I0sin𝜔tdt
The amount of charge passing through the circuit in half time period can be obtained by integrating above equation (i) from t=0 to t=T/2.a
q=I0sin𝜔tdt=I0 sin wtdt
=I0[-cos𝜔t
𝜔
]T/2 0
=-I0
𝜔
[cos𝜔t]T/20
=-I0
2𝜋/T
[cos2𝜋
T
t]T/20[w=2𝜋
T
]
=-I0T
2𝜋
[cos2𝜋
T
T
2
-cos0]
=-I0T
2𝜋
[cos𝜋-cos0]
=-I0T
2𝜋
[-1-1]
=-I0T
2𝜋
×-2
q=I0T
𝜋
( ii )
If Im be the mean value of an a.c. over positive half cycle, then the charge sent by it in time T/2 is given byq=InT
2
From equation (ii) and (iii), we geta
ImT
2
=I0T
𝜋
Im=2I0
𝜋
=0.637I0
Hence it means an average value of a.c. cower positive half cycle is 0.637 times the peak value of a.c. is 63.7% of the peak value. Similarly, the mean or average value of a.c. over the negative half cycle is obtained by integrating equation (1) from t=T/2 to t=T. It comes out to be 0.637Io. Hence the mean or average value of a.c aver one complete cycle is 0.637I0-0.637I0= zeroSimilarly, the mean value of alternating e.m.f isEm=2E0
𝜋
=0.657E0
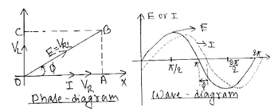
Phasor Diagram
A phasor is a vector rotating at a constant angular velocity. The sinusoidal output voltage produced by the simple generator can be represented by the phasor diagram shown in Figure. A diagram containing these phasors is called phase diagram. Science an alternating current or emf varies sinusoidally, it can be represented in a phase diagram.Wave diagram:It is the displacements of current and voltage in a circuit are represented in a graph by their wave forms along with their phase difference, the diagram is called wave diagram. Let an alternate current,I = Iosin 𝜔twhere, 𝜔= 2𝜋f, ( f being frequency) AC through Resistor
Let us consider a circuit having a ac source and AC source only.The applied alternating e.m.f. is given by E=E0sin𝜔t .......................(i) Let I be the circuit at any instant of time t. So The potential difference across the resistor =IR or, E= = IRor, or, I= E0sin𝜔t
R
or, I = I0sin𝜔t ...................(ii)Where I0=E0
R
is the peak value of alternate current.
Comparing (i) and (ii) current I and emf E are in phase. Therefore in an ac circuit having a resistor only Emf E and current I are in phase.
AC Through an Inductor only
An alternative em.f applied to an ideal inductor of inductance L. Such circuit is known as purely inductive circuit.The applied alternating em.f is given byE=E0 sin wt The induced e.m.f across the inductor =-LdI
dt
which opposes the growth of current in the circuit.
As there is no potential drop across the circuit.a
so, we can write,
E+(-LdI
dt
)=0
or, LdI
dt
dI
=E
or, E
dt
=E0
L
=E0
L
sin𝜔t
or, dI=E0
L
sin 𝜔tdt
integrating both sides, we geta
dI=E0
L
sin𝜔tdt
or, I=E0
L
sin𝜔tdt
=E0
L
(-cos𝜔t
𝜔
)=E0
L𝜔
(-cos𝜔t)
or, I=E0
L𝜔
sin(𝜔t-𝜋/2) [sin(𝜔t-𝜋/2)=-cos𝜔t]
I=I0sin(𝜔t-𝜋/2) (ii)
where E0
L𝜔
=I0
is peak value of ac.
Comparing equation (i) and (ii), we find that in an a.c circuit containing L only, current I lags behind the voltage E by a phase angle of 90.
Inductive Reactance (XL)In inductor I0=E0
L𝜔
and we know in a resistor I0 =E0
R
we can conclude that the quantity 'L𝜔' has the dimension of resistance. This term acts as resistance in the circuit and is termed as inductive reactance XL.
The inductive reactance is the effective opposition offered by the inductor to the flow of current in the circuit.Thus, XL=𝜔L=2𝜋fwhere f is frequency of a.c. supply. In d.c. circuits, f=0XL=0i.e A pure inductance offers zero resistance to d.c further, XLf, i.e. higher the frequency of a.c, more is the inductive reactance. i.e a
XL=𝜔L1
sec
(henry)
=1
sec
volt
amp/sec
=ohm
AC through a Capacitor Only Let us consider a ac source connected with a capacitor only.
The applied alternating e.m.f. across the capacitor is given byE=E0 sin 𝜔tLet q be the charge on the capacitor at any instant.So, potential difference across the capacitor, V=q
c
a
or, E=q
c
[V=E]
or q= E. C.=E0 sin 𝜔t C
Now I=dq
dt
=d
dt
(E0 sin 𝜔tC)
or, |I=E0C𝜔 Cos 𝜔t
or, I=E0
1/C𝜔
cos𝜔t
ar, I=E0
1/C𝜔
sin(𝜔t+𝜋/2)
I=I0sin(𝜔t+𝜋/2). (ii)
where I=E0
1/C𝜔
=I0
is peak value of a.c.
Comparing (i) and (ii) current leads the emf by 𝜋
2
.
Capacitive Reactance (XC) Comparing I0=E0
1/C𝜔
and I0=E0
R
, we conclude that the quantity 1/C𝜔 has the dimension of resistance and acts as the resistance in the circuit. So the effective opposition offered by a capacitor to the flow of current in the circuit is known as capacitive reactance XC.
The capacitive reactance. Its unit is ohm in Sl-system.Thus, XC=1
𝜔c
=1
2𝜋fc
where f is frequency of ac. supply In a d.c circuit, a
f=0,
Xe=
ie. a condenser will block ac. The unit of Xc can be deduced ax:a
Xe=1
𝜔c
=sec1
farad
=sec1
coloumb / volt
= Volt sec
Amp sec
= ohm
Hence Xc is measured in ohm. AC through Resistor and Inductor in Series
Let us resistor of resistance R and inductor of inductance L connected is series with an AC source with emfE=E0Sin 𝜔t. Let VR and VL be the potential across resistor and inductor respectively.In AC circuit containing resistor only the current I and voltage VR will in the same phase. The voltage VR represented by OA in the figure.
In an AC circuit containing in inductor only, the voltage leads the current by phase angle 𝜋
2
. The voltage VL is represented by OC in the figure.
From OAB,OB2=OA2+AB2Or, OB2=OA2+OC2Or, E2-VR2+V2LOr, E2= I2R2+ I2X2Lor, E2
I2
= R2+X2L
Or, E
I
=R2+X2L
z=R2+X2L Where Z is the net opposition to the current in the circuit and is known as the impedance. Calculation of phase angle [𝜙]In figure, ∠ACB=𝜙 is the phase angle.From OABTan𝜙=AB
OA
=OC
OA
Or, Tan 𝜙=VL
VR
Or, Tan 𝜙=IXL
I R
Or,Tan 𝜙=XL
R
𝜙=tan-1(XL
R
)
The above result shows that voltage leads the current by phase angle 𝜙.ie. current lags behind the voltage by phase angle 𝜙.AC Current Through Resistor and Capacitor in Series
Let us consider a Capacitor of capacitance C and a resistor of resistance R are connected in series with an AC source of emf E=E0sin 𝜔t. Let VR= IR and VC=IXL be the potential across resistor and capacitor, respectively.
When an AC circuit is connected with a resistor only, the current I and voltage VR will be in the same phase. The voltage VR represented by OA in the figure.When an AC circuit is connected with a capacitor only, the voltage lags behind the current by phase angle 𝜋
2
. The voltage VC is represented by OC
Let us complete a parallelogram OABC. Now, the diagonal OB represents effective voltage E (i.e. VRC].From QAB[OB]2-(OA)2+(AB)2or,(OB)2=(OA)2+(OC)2or, E2=V2R+V2Cor, E2=(IR)2+(IX2C|or, E2
I2
=R2+X2C
or, Z2=R2+XC2 (where Z=E
I
is impedance ie, total opposition offered by ac circuit.)
z=R2+X2CCalculation of phase angle:Tan𝜙=AB
OA
=OC
OA
Or, Tan 𝜙=VC
VR
Or, Tan 𝜙=IXC
I R
Or,Tan 𝜙=XC
R
𝜙=tan-1(XC
R
)
The above result shows that in an AC circuit containing capacitor and resistor in series, voltage lags behind the current by phase angle 𝜙. AC circuit containing inductor, capacitor and resistor in series. (LCR in series).
Let us consider an inductor of inductance L, a capacitor of capacitance C and a resistor of resistance R are connected in series with an AC source of emf, E = E0 sin 𝜔t. Let VL,VC and VR be the potential across inductor, capacitor and resistor, respectively.
In AC circuit containing resistor only, the current and voltage will be in the same phase. The voltage VR is represented by OA in the figure and in AC circuit containing capacitor only, the voltage lags behind the current by phase angle 𝜋
2
, the voltage VC is represented by OY in the figure, The voltage VL and VC are in opposite direction. If (VL>VC) then the resultant voltage of VL and Vc ie, (VL-VC|) is represented by OC
Let us complete a parallelogram OABC. Now the diagonal OB represents the effective voltage E of the LCR series circuit.From OBA,[OB]2=(OA)2+(AB)2or, (OB)2=(OA)2+(OC)2ar,E2=V2R+(VL-VC)2or, E2=I2R2+[IXL-IXc]2|or, E2
I2
=R2+(XL-XC)2
z=R2+(XL-XC)2Where z is net opposition to the current in the circuit, known as impedance.Calculation of phase angle:From OAB,Tan 𝜙=AB
OA
=OC
OA
or, Tan𝜙=VL-VC
VR
or, Tan𝜙=lX1-IX1
In
or, Tan𝜙=XL-XC
R
𝜙=tan-1(XL-XC
R
)
Special cases:1. If XL>XCIn this case, the value of phase angle 𝜙 is positive i.e. voltage leads the current as in pure inductor circuit. So the circuit is known as inductor dominated circuit.2.. If XL<XCIn this case, the value of phase angle 𝜙 is negative ie voltage lags the current as in pure capacitor circuit. So the circuit is known as capacitor dominated circuit.3.. If XL=XCIn this case the value of phase angle is zero. so 𝜙 is zero.Series ResonanceIn series resonance circuit impedance is expressed as,z=R2+(XL-XC)2 The value of impedance and hence current depends upon the value of XL and XC which ultimately depends upon frequency (f). From the relation above impedance is minimum when (XL -XC)2 is zero.this condition at which impedance is minimum or current is maximum is known as resonance.
Let resonance occurs at a particular frequency f0.Then for resonance XL= XCor, L𝜔= 1
C𝜔
or, 𝜔2=1
LC
or, 𝜔=1
LC
or, 2𝜋f0= 1
LC
or,
f0=1
2𝜋LC
This is the expression for resonance frequency for series resonance in LCR circuit. Quality FactorQuality factor defines the sharpness of tuning of resonance. The Q-factor of series resonant circuit is defined as the ratio of the voltage developed across the inductance or capacitance at the resonance to the voltage across resistor. Q =Voltage across inductor (VL) or Voltage across capacitor (Vc)
Voltage across resistor (VR)
Or, Q = IXL
IR
Or, Q = XL
R
Or, Q = 𝜔L
R
= 1
LC
.L
R
or,
Q= 1
R
L
C
This relation can be obtained taking capacitor also. Q = IXC
IR
Or, Q = XC
R
or, Q = 1
R
.1
C𝜔
or, Q = 1
R
.1
C1
LC
or, Q= 1
R
.LC
C
or,
Q= 1
R
.L
C
Here, quality factor can also be taken as the voltage magnification factor. Greater the value of resistance, less is the value of quality factor. Power Consumed in Series LCR Circuit.Let us consider alternating emf supplied to series LCR circuit be:E= E0sin 𝜔tAnd if the alternating current develop lags behind the emf by a phase angle 𝜙, then I= I0sin 𝜔tNow Power at instant time t is given byPins=I.E.or, Pins=I0sin(𝜔t-𝜙).Eosin𝜔tor, Pins =IoEo(sin𝜔tcos𝜙-cos𝜔tsin𝜙)sin𝜔tor, Pins =IoEo(sin2𝜔tcos𝜙-sin𝜔tcos𝜔tsin𝜙)Let dw be the small amount of work done in small time dti.e. dw=Pins dtNow, the total amount of work done in a complete cycle can be obtained by integrating from 0 to T.or, dw=Pinsdtor, W=I0E0(sin2𝜔tcos𝜙-sin𝜔tcos𝜔tsin𝜙)dtor, W=I0E0[cos𝜙(1-cos2𝜔t
2
)dt-sin𝜙
2
sin2𝜔t.dt]
or, W=I0E0
2
[cos𝜙(dt-cos2𝜔tdt)-sin𝜙.0] (sin2𝜔tdt=0)
or, W=I0E0
2
[cos𝜙{T-O}](cos2𝜔tdt=0)
or, W=I0E0
2
cos𝜙T
or, W=I0
2
E0
2
cos𝜙T
or, W=Irms.Ermscos𝜙TNow, the average power developed in complete cycle isP =W
T
or, P= Irms. Erms Cos𝜙Where Irms. Erms is the virtual power or apparent power. And cos 𝜙 is called power factor.Special Case1. Ac circuit containing resistor onlyIn such circuit phase angle 𝜙=00, so true power dissipated , P=Ev.Ivcos𝜙 = Ev.Ivpower loss = product of virtual value voltage and currenti.e true power = apparent power2. AC circuit having pure inductor only or pure capacitor onlyIn such circuit phase angle between current and voltage is 𝜋
2
so, P=Ev.Ivcos𝜙 = Ev.Ivcos𝜋
2
= 0
Thus , there is no power loss in a circuit having pure inductor or pure capacitor. Power FactorThe ratio of true power and apparent power (Virtual power) in an ac circuit is called power factor of the circuit.Power factor, cos 𝜃 = P
EvIv
Power factor is always positive and not more than onei. If there is only resistance, cos 𝜃=1ii. If there is pure inductor or pure capacitor only, cos 𝜃 = 0iii. For combination power factor cos 𝜃 = R
z
, where z is the impedance of the circuit.
Wattless and wattful currentIn pure inductor or pure capacitor circuit the phase between voltage and current is 𝜋
2
. so power factor is P=Ev.Ivcos𝜙 = Ev.Ivcos𝜋
2
= 0
Therefore, current through pure L or pure C only which consumes no power in the circuit is known as wattless current. During resonance the angle between emf and current is zero, so cos 𝜃 = 1, which is maximum . Thus power dissipation is maximum at resonant condition.In the same way the current through resistance R which consumes power is called wattful current. Choke CoilA choke coil is an inductance coil of very small resistance used for controlling current in an a.c. circuit. If a resistance is used to control current, there is wastage of power due to Joule heating effect in the resistance. On the other hand there is no dissipation of power when a current flows through a pure inductor.Such an inductor which is used to control the current in an ac circuit with out loss of energy is called choke coil.